猪圆环病毒2型(PCV2)是造成猪圆环病毒相关疾病(PCVAD)的病原体,但需要额外的因子以造成疾病的表现。美国于2006年引进了PCV2疫苗,并迅速在全国范围内采用以控制猪圆环病毒相关疾病的爆发。PCV2疫苗接种对控制猪圆环病毒相关疾病有效,包括高水平的PCV2抗体和降低血清PCV2水平,但不能从动物消除该病毒。
在2006年引进疫苗之前,猪群生物学样本显示美国全国范围内普遍存在高水平的PCV2感染和血清学反应(Puvanendiran等, 2011)。我们的实验结果显示感染开始于子宫内和产房,继而导致终身感染(Dvorak等, 2013)。

鉴于全球广泛使用疫苗免疫并成功的预防了PCVAD,我们疑惑在连续6年疫苗接种后病毒载量是否降低,血清学反应是否仍维持在较高水平。故我们使用了美国国家动物卫生监测系统为调查生猪健康状况的血清样本,对单个猪只和猪场的感染和免疫状况进行了重新评估。
结果
对2012年来自美国12个州137个猪场的2044份血清样本及2006年来自美国16个州185个猪场的6046份血清样本进行分析。在2次取样中均包含了美国主要的生猪生产区域。
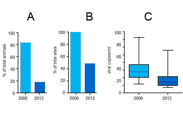
与2006年(82.6%猪, 99.5%猪场)相比,2012年(17.2%猪, 47.9%猪场) PCV2感染生猪和猪场数量大大降低(图1A和B)。对比2012年和2006年PCV2阳性动物数量可见病毒数量大大降低(附录 平均降低22倍和最大降低49倍) (图1C)。

图1: 2006年和2012年PCV2病毒血症水平。A:2006年和2012年猪病毒血症百分比;B:育肥舍病毒血症百分比;C:育肥猪病毒水平。

图2:2006年和2012年育肥猪PCV2血清抗体。A:2012年育肥猪和育肥舍PCV2抗体阳性百分比(包含至少一头PCV2抗体阳性猪)B: 2006年和2012年自然感染诱导的PCV2抗体阳性的猪和猪场百分比。
2012年,尽管普遍使用疫苗,仅在41%的育肥猪检测到PCV2抗体(图2A)。但94.9%的育肥舍检测到至少一头血清阳转生猪(图2A)。与2006年(79%猪, 99%猪舍)相比,2012年育肥猪和猪舍由自然感染而产生PCV2抗体的数量大大降低(19.0%猪, 74%猪舍) (图2B)。鉴于2006年尚无可用疫苗,所有的血清学反应均为自然感染。2012年的血清反应由自然感染和疫苗接种诱导。通过病毒复制酶抗体的存在鉴定自然感染。复制酶仅可通过活病毒产生,其不在PCV2疫苗中存在。
结论
自2006年引进高效PCV2疫苗以来,猪群中病毒数量和病毒载量显著降低。目前大多数猪场的病毒载量较低,且通过聚合酶链反应(PCR)检测不到病毒,表明持续疫苗免疫导致PCV2阴性猪群的出现。尽管对于疫苗控制感染的机理尚不清楚,但持续使用疫苗可导致猪群PCV2的流行率降低到可检测水平以下。至此,我们认为大部分猪PCV2感染水平在PCR灵敏度限度以下,因70%猪场的猪含有由自然感染诱导的复制酶抗体。疫苗接种失败可导致猪圆环病毒相关疾病。故疫苗接种对控制PCVAD仍很重要。



