断奶是仔猪最关键的阶段之一,在此期间它将面临一系列必须克服的困难:离开母猪,混窝,环境变化,等级争斗,接触新病原体......以及日粮的突然变化,从液体到固体,且蛋白质含量远高于母乳。这种饲喂方式的改变对仔猪仍不成熟的消化系统造成了重大挑战,特别是当饲料蛋白质含量高时。当发生这种情况时,过量的蛋白质在大肠中发酵并导致致病细菌(特别是大肠杆菌)的生态失调和增殖,导致仔猪腹泻和生长迟缓。故加入高度易消化的原料,减少蛋白质含量和补充氨基酸,将有助于防止病原体在肠道定殖,降低腹泻风险,促进仔猪的发育和生长。
然而,当降低饲料中的蛋白质水平时,必须确保动物获得其所需的所有氨基酸,并保持氨基酸之间的特定平衡,从而既不影响生长也不影响生产率。故为了满足仔猪的需求,理想蛋白质的概念被定义为使氮保留最大化的氨基酸谱(如肌肉)并满足动物的生理和生长的需求,在设计日粮配方时应用。理想的蛋白质谱在生长阶段保持恒定,以便一旦知道动物的赖氨酸需求(其根据遗传学和其他原因而变化),则可计算其它氨基酸的正确比率。

氨基酸分类如下:非必需氨基酸是动物可以合成的氨基酸; 半必需氨基酸是动物可以合成,但数量并不总是足够的;必需氨基酸是动物不能合成(或数量不足),故必须在日粮中提供。控制必需氨基酸是重要的,特别是在降低蛋白质水平时。
我们知道赖氨酸是猪日粮中的第一限制性氨基酸,而其余必需氨基酸总是以相对于赖氨酸的百分比表示。
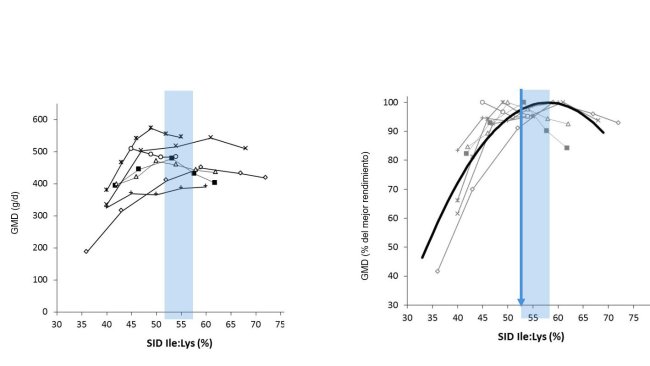
苏氨酸是第二限制性氨基酸,对肠道粘蛋白的产生至关重要,且在肠黏膜的完整性上发挥着一定的作用。它对免疫系统也很重要,因其参与了免疫球蛋白的合成。含硫氨基酸(蛋氨酸和胱氨酸)第三限制性氨基酸,第四是色氨酸。后者与不同的生物功能有关,如免疫反应(部分急性期蛋白质),调节动物行为,促进蛋白质的合成和调节饲料的自由摄取。缬氨酸是第五限制性氨基酸,对蛋白质沉积和动物的最佳生长至关重要。与异亮氨酸和亮氨酸一起,被认为是一类氨基酸,且由于其共有的代谢途径,这三种氨基酸之间存在特定的相互作用。因此,了解所有氨基酸的需求非常重要。根据几位作者发表的科学研究,图1,2和3分别显示了基于日粮中色氨酸/赖氨酸和缬氨酸/赖氨酸比值的不同的生长回归曲线和仔猪转化率。同样,越来越多的关于其它必需氨基酸(异亮氨酸,亮氨酸,组氨酸和苯丙氨酸)的需求和功能的研究正在进行。
色氨酸/赖氨酸比例对仔猪生长的影响。

. 图1:色氨酸/赖氨酸比例对仔猪生长的影响。
缬氨酸/赖氨酸比例对仔猪生长的影响。

图2:缬氨酸/赖氨酸比例对仔猪生长的影响。
缬氨酸/赖氨酸比例对仔猪生长的影响。

图3.缬氨酸/赖氨酸比率对仔猪转化率的响应。
结论

整个欧洲都有一个普遍的趋势,即降低饲料中的蛋白质含量,同时补充足够的工业氨基酸,以确保动物的需求得到满足,且遵循理想的蛋白质谱。以此来维持仔猪的生长和肠道健康。至今,可用的工业氨基酸(L-Lys,L-Thr,DL-Met,L-Trp和L-Val)及对氨基酸需求知识的增加,使我们能更好的基于必需氨基酸设计日粮配方,遵循理想蛋白质谱且无视蛋白质水平。

